In December 2016, we published a paper "Interpenetrating graphene networks: Three-dimensional node-line semimetals with massive negative linear compressibilities" in Physical Review B. We studied the family of interpenetrating graphene networks (IGNs) using density functional theory (DFT) and found IGNs exhibit nonmonotonic bulk and linear compressibilities before their structures irreversibly transform into new configurations under large hydrostatic compression. More details >>>
![]() |
||
| Pressure dependent relative volume of IGNs. More details >>> |
In September 2016, we published a paper "Diverse ruthenium nitrides stabilized under pressure: a theoretical prediction" in Scientific Reports. More details >>>
March 14-18, 2016, Baltimore, Maryland, I attended APS March Meeting and gave a presentation about "Quantum Monte Carlo Computations of the (Mg1-XFeX)SiO3 Perovskite to Post-perovskite Phase Boundary".
In December 2015, we published a paper "Structural diversity in lithium carbides" in Physical Review B. Several novel stable and metastable lithium carbides were predicted. A rich diversity of carbon bonding, including monomers, dimers, trimers, nanoribbons, sheets, and frameworks, was found in these lithium carbides. More details >>>
![]() |
||
| Electron localization function (ELF) images. More details >>> |
In December 2015, we published a paper "An asymmetric membrane of polyimide 6FDA-BDAF and its pervaporation desulfurization for n-heptane/thiophene mixtures" in Journal of Integrative Agriculture. More details >>>
In November 2015, we published a paper "Structures and stability of novel transition-metal (M=Co,Rh,CoandIr) borides" in Physical Review B. More details >>>
In November 2014, we published a paper "Equations of state and stability of MgSiO3 perovskite and post-perovskite phases from quantum Monte Carlo simulations" in Physical Review B. The equations of state for Pv and PPv phases of MgSiO3 agree well with experiments, and better than those from generalized gradient approximation calculations. The Pv-PPv phase boundary calculated from our QMC equations of state is also consistent with experiments, and better than previous local density approximation calculations. More details >>>
![]() |
||
| MgSiO3 Pv and PPv phase boundary. More details >>> |
In October 2014, we published a paper "Prediction of a potential high-pressure structure of FeSiO3" in Physical Review B. The two main XRD peaks of PPv-II are very close to the two main peaks of the "H-Phase" in a Science paper. More details >>>
![]() |
||
| Comparison between crystal structures of PPv and PPv-II. More details >>> |
March 3-7, 2014, Denver, Colorado, I attended APS March Meeting and gave a presentation about "Quantum Monte Carlo Calculation for the Equation of State of MgSiO3 perovskite at high pressures".
In April 2013, we published a paper "A local superbasin kinetic Monte Carlo method" in The Journal of Chemical Physics. More details >>>
March 18-22, 2013, Baltimore, Maryland, I attended APS March Meeting and gave a presentation about "Ga Surface Diffusion on GaAs(001) β2(2×4): An ab initio Local Superbasin Kinetic Monte Carlo Study".
| Diffusion of Ga adatom. A movie. |
October 28 - November 2, 2012, Pittsburgh, Pennsylvania, I attended AIChE Annual Meeting and gave a presentation about "Probing the Growth of III/V Semiconductor Interfaces with Accelerated Rare-Event Simulations".
In October 2012, we published a paper "Accelerated molecular dynamics study of the GaAs(001) β2(2×4)/c(2×8) surface" in Physical Review B. This is a good example for the application of accelerated molecular dynamics (AMD) and its solution to low barrier problem. More details >>>
| GaAs(001)β2(2×4)/c(2×8) surface. Movies of low barrier problem. | ||
| GaAs(001)β2(2×4)/c(2×8) surface. Movies of accelerate molecular dynamics. More details >>> |
February 27 - March 2, 2012, Boston, Massachusetts, I attended APS March Meeting and gave a presentation about "Accelerated Molecular Dynamics of GaAs(001) Homoepitaxy: Effects of Long-Range Disorder".
In June 2009, we published a paper "Quenched solid density functional theory and pore size analysis of micro-mesoporous carbons" in Carbon. We obtained the pore size distributions of porous carbon materials by fitting experimental adsorption isotherm using theoretical kernels from quenched solid density functional theory (QSDFT). More details >>>
![]() |
||
| QSDFT kernels of Ar in Carbon slit pores. More details >>> |
We extended the LIQUAC model to the prediction of salt solubilities aqueous electrolyte systems. This work was publised in Industrial & Engineering Chemistry Research with title "gE Model for Single- and Mixed-Solvent Electrolyte Systems. 3. Prediction of Salt Solubilities in Aqueous Electrolyte Systems" in 2005.
![]() |
||
| Solubilities of NaCl and Na2SO4 in aqueous solutions from LIQUAC model. More details >>> |
We proposed two simplified equation of state for one-component multi-Yukawa fluids. The simplified methods are conditionally accurate in comparison with Monte Carlo simulations for fluids with two, three and four-Yukawa potentials. This work was publised in Molecular Physics with title "Study on analytical solutions and their simplification for one-component multi-Yukawa fluids and test by Monte-Carlo simulation" in 2004.
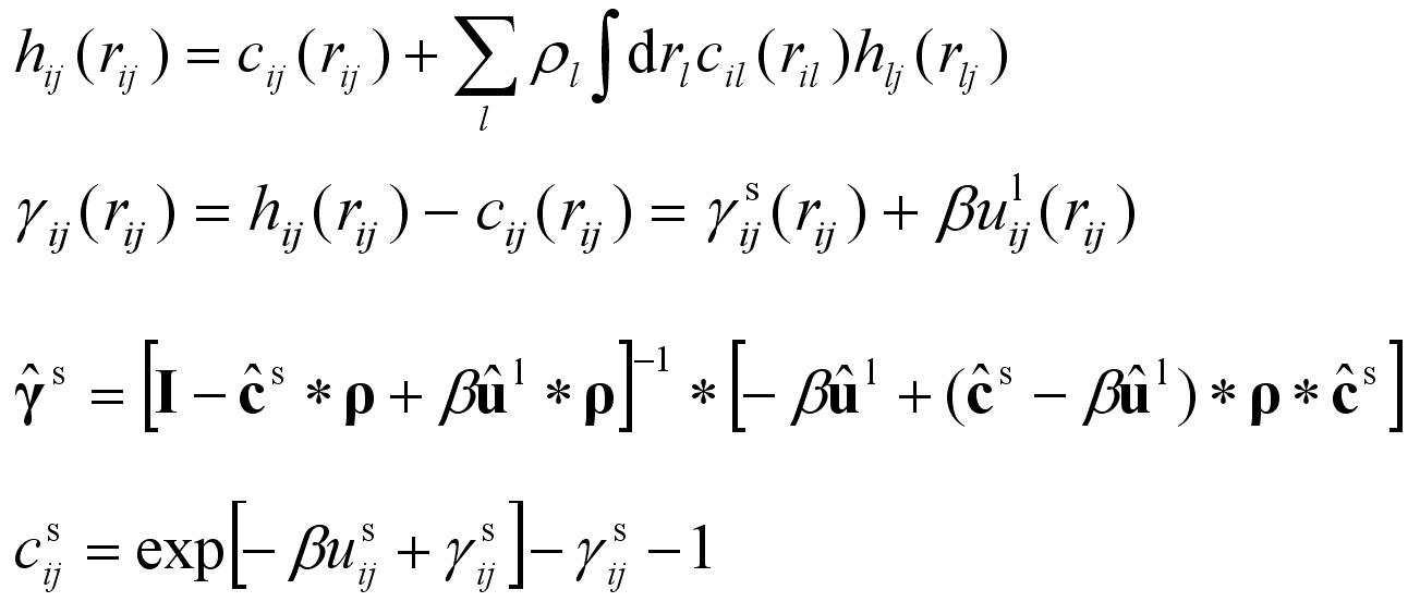
We numerically solved the Ornstein-Zernike (OZ) integral equation with hypernetted-chain (HNC) approximation via Fourier transformation for charged BSA molecules in NaCl solutions. A short-range attractive force between the same charged BSA molecules was found under some situations. This work was publised in Journal of Chemical Physics with title "Electrostatic potential of mean force between charged bovine serum albumin molecules in aqueous NaCl solutions by hypernetted-chain integral equation" in 2002.
![]() |
||
| OZ integral equations and their Fourier transformation. More details >>> |
We made a Monte Carlo (MC) program for hard-core Yukawa fluids and obtained their pressures and internal energies through hundreds of thousands MC simulation steps. Our previous analytical equation of state for Yukawa fluid is proved to be accurate in comparison with MC simulation results. This work was publised in Journal of Chemical Physics with title "Monte Carlo simulation for the hard-core two-Yukawa fluids and test of the two-Yukawa equation of state" in 2002.
![]() |
||
| Radial distribution function by Monte Carlosimulation. More details >>> |
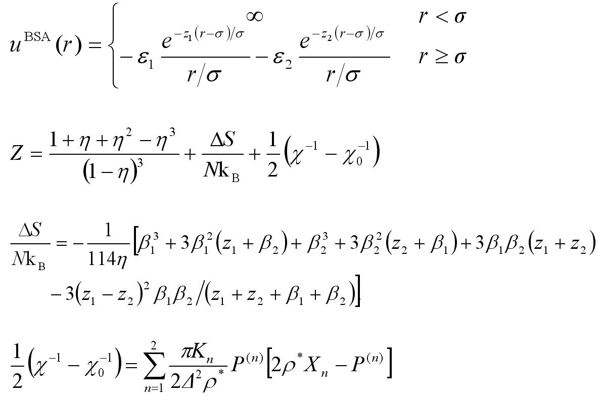
We found an explicit analytical equation of state (EOS) for one-component two-Yukawa fluid and a simple and directly iterative method to solve it. This work was published in Molecular Physics with title "Study on the analytical solution of the MSA for a one-component two-Yukawa potential in bovine serum albumin--NaC1 aqueous solution" in 2002.
![]() |
||
| Analytical EOS for one-component two-Yukawa fluid. More details >>> |
We proposed a new equation of state (EOS) to correlate and predict the osmotic pressure data for aqueous bovine serum albumin (BSA) solutions. The new EOS only has one adjust parameter and can deal with different NaCl concentrations and pH values. This work was published in Journal of Colloid and Interface Science with title "Correlation and Prediction of Osmotic Pressures for Aqueous Bovine Serum Albumin¨CNaCl Solutions Based on Two Yukawa Potentials" in 2001.
![]() |
||
| Osmotic pressure of aqueous BSA solutions (0.15M NaCl). More details >>> |